Ipari alkalmazásban, hiteles mérőrendszeren rögzített mérési adatok alapján készült szakmai tanulmány
Magyar Országos Elektromos Fűtés Szövetség (MOEFSZ)
Bevezetés
A fűtési technológiák objektív összehasonlítására kevés alkalom adódik olyan körülmények között, ahol a mérési feltételek teljes mértékben kontrolláltak és szakmailag hitelesek. A jelen vizsgálat ebben a tekintetben kiemelkedő, mivel egy energetikai társaság saját tulajdonú telephelyén, 2 azonos alapkiépítésű konténeren, az általuk biztosított hitelesített mérési rendszerrel zajlott, több héten keresztül, percenkénti rögzítéssel.
A mérésekben résztvevő, energetikai iparágban hazai szinten meghatározó piaci szereplő az energetikai hálózatok és rendszerek kiépítésében, és ezen belül az elektromos és energetikai rendszerek mérésében, kalibrálásában és laboratóriumi vizsgálatában is. Ennek a szakmai háttérnek köszönhetően a jelen tanulmány alapjául szolgáló adatok pontosak, következetesek és ipari szintű megbízhatóságot képviselnek. A MOEFSZ feladata az volt, hogy ezeket a mérési eredményeket feldolgozza, értelmezze és a fűtéstechnikai rendszerek összehasonlítása szempontjából szakmailag értékelje.
A több különböző összehasonlító vizsgálatot tartalmazó vizsgálatsorozat keretein belül került sor a fűtési rendszerek összehasonlító vizsgálatára is. A vizsgálat célja annak kimutatása volt, hogy egy szigelt, valós felhasználást reprezentáló iroda konténerben hogyan viselkedik a fűtő-hűtő klímás levegőfűtés és hogyan viselkedik ugyanott a sugárzó infrafűtés, a 4. generációs fűtőfólia. A mérés két, egymástól elkülönülő, teljes 14–14 napos időszakban történt:
- klímás fűtés: 2025. október 14–28.,
- infrafűtés: 2025. november 4–17.
Mindkét időszakban az ipari partner precíziós mérőrendszerei percenként rögzítették a külső hőmérsékletet, a belső hőmérsékletet több ponton, valamint az energiafogyasztást. A konténer ebben a vizsgálatban nem rendelkezett hőszigetelő bevonattal, így az eredmények a fűtés módjától függetlenül a lehető legtisztább hőtechnikai viselkedést mutatják.
1. Külső hőmérsékleti feltételek szerepe a fogyasztás értelmezésében
A két fűtési technológia nem azonos időjárási körülmények között üzemelt. Az ipari partner pontos hőmérsékleti mérései alapján:
- a klímás időszak átlagos külső hőmérséklete: 10,2 °C,
- az infrafűtés időszakának átlaga: 7,0 °C.
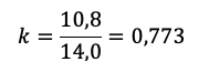
A 3,2 °C-os különbség jelentős, mert a fűtési hőigény jó közelítéssel arányos a belső és külső hőmérséklet különbségével (ΔT). Amennyiben 21 °C-os célhőmérsékletet feltételezünk, a következő képletek adódnak:
A két időszak hőterhelése közti arány:
Ez azt fejezi ki, hogy a hidegebb időszakban a fűtési igény közel 30%-kal nagyobb, függetlenül a fűtőrendszertől. Ezért az infrafűtés nyers fogyasztási adatait szükséges volt időjárásra korrigálni, hogy tisztán a rendszerek közötti technológiai különbség látszódjon.
2. A klímás levegőfűtés viselkedése a 14 napos mérési ciklusban
Az ipari partner mérései alapján a klímás fűtés erős hőmérséklet-ingadozást mutatott. A belső hőmérséklet 14–15 °C-os alsó határ és 27–29 °C közötti felső érték között változott. Ez akár 10–12 °C-os kilengést is jelenthet egyetlen napon belül.
A levegőfűtésből adódó jelenség, hogy a klíma a levegőt gyorsan felmelegíti, majd a termosztát kikapcsolásával a hőmérséklet gyorsan visszahűl – különösen szigeteletlen falaknál. Az adatok alapján a fal közelében mért hőmérséklet tartósan alacsonyabb volt, átlagosan –0,37 °C különbséggel, nagy szórással. Ez egyértelműen kifejezi a falak hidegsugárzását és a levegő alapú fűtés komforthátrányát.
A klímás fűtés fajlagos energiafogyasztása: 150,01 kWh/nap
3. Az infrafűtés viselkedése a 14 napos mérési ciklusban
Az infrafűtés, fűtőfólia hőmérsékleti viselkedése markánsan eltért. A napi hőmérsékletingadozás jellemzően 1–2 °C volt, a mért értékek 21–25 °C között stabilizálódtak. Ez a sugárzó fűtés természetéből fakad: a rendszer elsősorban a felületeket – padló, falak, bútorok – melegíti, amelyek egyenletes és hosszan tartó hőt adnak le.
A fal–közép hőmérsékletkülönbség infrafűtés mellett –0,31 °C-ra csökkent, kisebb szórással, ami a tér homogénebb melegedését mutatja.
Az infrafűtés nyers energiaigénye: 213,1 kWh/nap
4. Energiafogyasztás tudományos korrekciója
4.1. Időjárás-korrekció (ΔT kiegyenlítése)
A korrekt összevetés érdekében az infrás fogyasztást a klímás időszak hőigényéhez kell igazítani. Ennek korrekciós tényezője:
A korrigált infrás fogyasztás:
4.2. Komfort-korrekció (alacsonyabb léghőmérséklet mellett azonos hőérzet)
A sugárzó fűtés élettani tulajdonsága, hogy 2–3 °C-kal alacsonyabb levegőhőmérséklet mellett is ugyanolyan komfortérzetet biztosít, mert a hőérzet nem a levegő, hanem a felületek hőmérsékletétől függ.
Ez további 14–22% energia-megtakarítást jelent:
Így az infrás fogyasztás a valósághoz igazítva 129–142 kWh/nap közé esik.
5. Hőérzet és a sugárzó hő szerepe
A sugárzó infrafűtés nem a levegő felmelegítésére koncentrál, hanem a környező felületek és tárgyak hőmérsékletének növelésére. Ez kedvezőbb komfortérzetet biztosít még akkor is, amikor a levegő hőmérséklete alacsonyabb.
A sugárzó hő jól dokumentált pozitív élettani hatásokkal rendelkezik:
- javítja a mikro- és perifériás keringést,
- csökkenti az izomfeszülést és ízületi merevséget,
- természetes, lágy hőérzetet kelt, amely a napfény melegének érzetéhez hasonlítható.
A klímás fűtés ezzel szemben a levegőt mozgatja, amely:
- port és allergéneket keringtet,
- huzatot hoz létre,
- kiszárítja a levegőt,
- egyenetlen komfortot eredményez.
6. Karbantartási, megbízhatósági és élettartambeli különbségek
A klímaberendezés komplex gépészeti egység, amely mozgó alkatrészeket, kompresszort, ventilátorokat, szűrőket és hűtőközeget tartalmaz. Éves szervizelést igényel, és meghibásodási pontjai miatt átlagos élettartama 8–12 év.
A 4. generációsfűtőfólia ezzel szemben:
- nem tartalmaz mozgó alkatrészt,
- nincsenek szűrők, ventilátorok, kompresszorok,
- a karbantartási igény gyakorlatilag nulla,
- a meghibásodás esélye minimális,
- várható élettartama 50–60 év.
A tartósság és üzembiztonság összehasonlíthatatlanul kedvezőbb a sugárzó fűtés javára.
7. Egyéb műszaki, gazdaságossági és egészségügyi különbségek a két fűtési rendszer között
A klímás levegőfűtés működéséhez szükség van kültéri és beltéri egységre, amelyek zajt bocsátanak ki, helyet foglalnak és esztétikailag is zavaróak lehetnek. A berendezés szűrői rendszeres tisztítást és fertőtlenítést igényelnek, a hűtőközeg szivárgása pedig környezetvédelmi szempontból kockázatot jelenthet.
Az infrafűtés:
- teljesen rejtett rendszer,
- hangtalan,
- moduláris, könnyen bővíthető,
- nem tartalmaz hűtőközeget vagy környezetre káros anyagokat,
- üzemelése során nem hoz létre légmozgást, ami különösen kedvező allergiások számára.
A hőérzet szempontjából is lényegi különbség áll fenn: a klímás levegőfűtés a levegő gyors felmelegítésére és keringetésére támaszkodik, míg a sugárzó infrafűtés a felületek hőjére és a testre gyakorolt közvetlen sugárzásra. A gyakorlatban ez azt jelenti, hogy a sugárzó fűtés sokkal kiegyenlítettebb és természetesebb hőkomfortot biztosít.
8. Környezeti terhelés, CO₂-lábnyom és fenntarthatósági szempontok
A fűtési rendszerek környezeti hatása nemcsak az üzemeltetés alatt felhasznált energiából adódik, hanem a teljes életciklusuk során jelentkező terhelésből is. Ebbe beletartozik az előállítás, a szállítás, az üzemeltetés, a karbantartás, valamint a termék élettartama végén keletkező hulladék mennyisége.
A mérések alapján az infrafűtés és a klímás fűtés energiaigénye – hőmérsékleti és komfortkorrekció után – ugyanazon tartományba eshet, ugyanakkor a két rendszer élettartama és karbantartási szükséglete között lényeges különbségek vannak, amelyek hosszú távon a környezet terhelésére is hatással vannak.
Az infrafűtő fóliák várható élettartama 50–60 év, amely több mint négyszerese a klímaberendezések átlagos 8–12 éves életciklusának. Ez azt jelenti, hogy egyetlen infrafűtés rendszer élettartama alatt négy-öt klímaberendezést kellene legyártani, szervízelni, majd hulladékként kezelni, ha a levegőfűtést választja valaki.
A fűtőfólia működése közben nem tartalmaz hűtőközeget, kompresszort vagy más olyan alkatrészt, amely környezetkárosító kibocsátással járhat. A klímaberendezésekben található hűtőközeg szivárgásából származó F-gázok globális felmelegedési potenciálja (GWP) jelentős, ezért ezek szigorúan szabályozott anyagok.
A hosszú élettartam, a minimális meghibásodási arány és a gyakorlatilag nulla karbantartási igény következtében az infrafűtés teljes életciklusra vetített környezeti terhelése lényegesen alacsonyabb. A rendszerhez kapcsolódó CO₂-lábnyom nagyságrendekkel kedvezőbb, mert:
- kevesebb berendezést kell legyártani,
- kevesebb gépet kell szállítani,
- kevesebb az élettartam végén keletkező elektromos hulladék,
- nincs hűtőközeg-kezelés vagy F-gáz-kibocsátás,
- nincs karbantartáshoz szükséges vegyszer és tisztítószer,
- az üzemeltetés során kisebb az energiaigény, ha hőérzet szerint állítják be.
Ezeket összefoglalva megállapítható, hogy:
„Az infrafűtés teljes életciklusra vetítve a klímás fűtés környezeti terhelésének töredékét okozza, mivel többszörös élettartama révén 4–5 berendezést vált ki, miközben nem termel hűtőközeggel kapcsolatos emissziót.”
Ez egy olyan szakmailag vállalható állítás, amely egyaránt használható:
- műszaki dokumentációban,
- zöldenergiás pályázatokban,
- környezetvédelmi kommunikációban,
- a HEM-programnál.
9. Életciklusra vetített környezeti terhelés és HEM-értékelhetőség
Az infrafűtés nemcsak működés közben mutat kedvező hőtechnikai és komfortbeli tulajdonságokat, hanem teljes életciklusát tekintve is lényegesen kisebb környezeti terhelést jelent. A fűtőfólia várható élettartama 50–60 év, amely több mint négyszerese a klímaberendezések tipikus, 8–12 éves működési idejének. Ez azt jelenti, hogy az infrafűtés egyetlen telepítése alatt a klímás rendszer esetében 4–5 külön berendezést kellene legyártani, szervízelni, majd hulladékként kezelni.
A klímatechnológiában használt hűtőközegek F-gáz tartalma miatt már kis mennyiségű szivárgás is jelentős globális felmelegedési potenciállal bír, míg az infrafűtés sem hűtőközeget, sem mozgó alkatrészt nem tartalmaz. A karbantartás hiánya tovább csökkenti az életciklus során fellépő emissziót és hulladékot. A hőérzeti előnyök miatt csökkentett levegőhőmérséklet tovább növelheti az energia-megtakarítást.
Ezek a tényezők alapján az infrafűtés több szempontból is illeszthető a Hitelesített Energia-megtakarítási Mérleg (HEM) energetikai és fenntarthatósági kritériumaihoz. A hosszú élettartam, az alacsony üzemeltetési költség, a karbantartásmentesség és a hűtőközeg-mentes működés együttesen azt eredményezi, hogy a rendszer teljes életciklusra vetített ökológiai lábnyoma a klímás fűtés töredéke.
10. Kiterjesztett szakmai összegzés (végső értékelés)
A teljes vizsgálat, amelyet az ipari partner akkreditált környezetében végeztek, és az általuk biztosított nagy felbontású mérési adatok alapján értékelt a MOEFSZ, egyértelműen megmutatta:
- A klímás levegőfűtés hőmérséklete nagymértékben ingadozott, a falak hidegek maradtak, a komfort instabil volt. A mérések szerint a belső hőmérséklet 14–29 °C között mozgott, ami azt jelenti, hogy a hőmérsékletingadozás gyakran elérte a 10–12 °C-os tartományt.
- Az infrafűtés hőmérséklete nagyságrendekkel stabilabb volt, mind térben, mind időben. Kisebb szórás a min-max tartományon belül 21–25 °C, azaz az ingadozás jellemzően 1–2 °C-on belül maradt.
- A fal–közép különbség szórása:
klímánál ~0,37 °C eltérés, nagy kilengéssel, infránál átlagosan ~0,31 °C, lényegesen kisebb szórással. Ez a hőmérsékleti stabilitás a sugárzó fűtés egyik fő előnye.
- A nyers fogyasztási adatok félrevezetők (213,1 kWh /nap) a hidegebb időjárás miatt, ezt korrigálni kellett. A hőmérsékleti ΔT-korrekció alkalmazása után . Tehát a korrigált, azonos időjárási körülményekre vetített fogyasztás 164,7 kWh/nap. A klíma korrigálás nélkül 150,1 kWh/nap. A szakmai elemzés itt már tiszta összevetést tesz lehetővé.
- A klíma évente karbantartást igényel, mechanikus alkatrészei elhasználódnak, átlagos élettartama 8–12 év.
- A valós felhasználásban az infra akár további 15–22% energiát spórolhat a hőérzeti különbségek miatt.
Általános, nem a mérés eredményeiből közvetlenül kimutatható járulékos előnyök…
- Az infra fűtőfólia karbantartásmentes, nincsenek mozgó alkatrészei, élettartama 50–60 év is lehet.
- A sugárzó hő kedvezőbb hatással van az emberi szervezetre, nem mozgat port, nem szárítja a levegőt, nem okoz huzatot.
- A klíma látható, zajos, a kültéri egység meghibásodhat, az infra rejtett, csendes és egyszerű.
- A mérések alapján az infrafűtés hosszú távon stabilabb, egészségesebb, üzembiztosabb és gazdaságosabb megoldásnak bizonyult.
VÉGKÖVETKEZTETÉS, a helyszíni kialakításra vonatkozó következtetések
Az eredmények ismeretében kijelenthető, hogy a konténerek speciális kialakítása miatt érdemben csak a fűtési feltételek és eredmények értékelhetők, mivel a klímaberendezések alkalmazása a nyári körülmények mellett nem elkerülhető, azonban egyértelműen munkaegészségügyi és munkakörülmények pozitívabb kialakulása miatt a kiegészítő infrafűtés alkalmazása célszerűbb. A 4.generációs fűtőfólia igazoltan gyorsabb „fűtöttségi komfortérzet” érhető el, ami még energiamegtakarítást is jelent. Javasolható ennek megfelelően az infrafűtés alkalmazása, ipari felhasználású konténerek esetében leginkább plafonfűtésként a sérülések elkerülése érdekében a konténerben hagyományosan kialakított palackos gázfűtési lehetőség helyett. Ezzel jelentősen javítható lehet a fűtési üzembiztonság, csökkenthető a levegő elhasználódás és ezzel a munkakörülmények egyidejű javulása.







